CHEM10050 Basis of Organic and Biological Chemistry Assignment 2026 | UCD
CHEM10050 – Tutorial 3 Problem Sheet
Attempt the following questions and upload your answers to Brightspace as a single pdf file (you can use free apps such as CamScanner to scan your answer sheets and save as pdf file) The pdf filename must be: your name_CRN and make sure to upload it to Tutorial 3.
Make sure to include (clearly readable) your NAME & STUDENT NUMBER AND CRN If you make a mistake uploading, please upload again to the right place.
The tutorial submission is due by 2pm Monday, 2nd of March.
(the submission deadline is the same for everyone, regardless of the time of their tutorial) Late tutorial scripts may incur a marks penalty
1.
(a) Draw a diagram showing the hybrid atomic orbitals on carbon in ethene (ethylene, H2C=CH2) and the way they overlap to form the C=C bond. Clearly label the orbitals in your diagram. (5 marks)
(b) Draw an energy level diagram for the formation of the orbitals in part (a), making sure to include both bonding and anti-bonding orbitals. (both parts from Lecture 7B/8B) (3 marks)
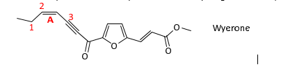
2. Answer the following questions about wyerone, an anti-fungal compound found in broad beans.
(part a/b from L10A and/or L7B; part c/d from L8; part f from L10A; part g from L8/9A)

(a) What is the hybridisation state of the carbons labeled 1, 2 and 3 above? (3 marks)
(b) For each of the three numbered carbon atoms, indicate the geometry of that carbon and draw in the approximate bond angles around it. (6 marks) c) Is rotation around bond A possible? (3 marks)
(c) Identify a trans and a cis alkene in wyerone. Explain the distinction. (3 marks)
(d) Draw the product that would be formed by addition of Br2 to the double bond labelled A. (3 marks)
(e) Draw the product formed by addition of H2 to wyerone using Lindlar’s catalyst. (3 marks)
(f) Draw the product formed by addition of excess H2 to wyerone using Pd metal as catalyst. (3 marks)
3.
(a) Draw the structure of 1-ethylcyclohexene (B). (2 marks)
(b) Draw the structures of the two possible products that can result from treating B with hydrogen bromide. (6 marks)
(c) In the reaction in part (b) one product is favoured. Specify which one and explain why it is favoured. (6 marks)
(d) Draw the curly arrow mechanism for the formation of the favoured product (all parts from L8). (4 marks)