MTH109 Calculus Tutor-Marked Assignment 1, 2026 | SUSS
MTH109 Tutor-Marked Assignment 1
This assignment is worth 10% of the final mark for MTH109 Calculus.
The cut-off date for this assignment is 05 March 2026, 2355hrs.
Note to Students:
You are to include the following particulars in your submission: Course Code, Title of the TMA, SUSS PI No., Your Name, and Submission Date.
For example, ABC123 TMA01 Sally001 TanMeiMeiSally (omit D/O, S/O). Use underscore and not space.
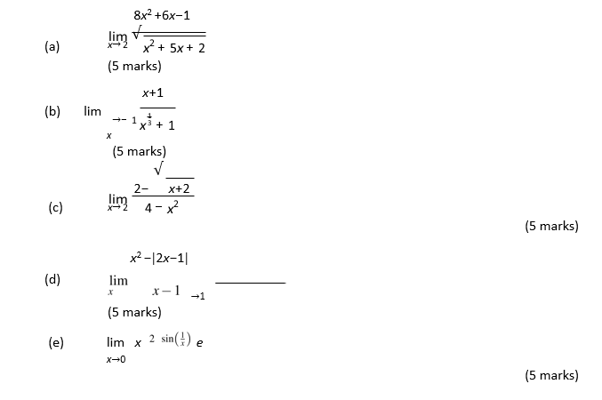
Question 1
Determine the following limits.

Question 2
The Air Quality Health Index (AQHI) is a scale from 1 to 11 that is used to communicate the level of health risk associated with air quality. A sample of 647 readings of air pollutants taken at a monitoring station over a fixed period is used to calculate 647 values of the AQHI. Table Q2 shows the frequency counts of each value of the AQHI based on these readings. Given a sample X1,…,Xn of n observations of the AQHI, the (uncorrected) sample variance s2(µ) relative to a parameter µ is given by
n
s2(µ) = 1n i∑=1(Xi −µ)2.
| AQHI | 1 | 2 | 3 | 4 | 5 | 6 | 7 | 8 | 9 | 10 | 11 |
| Frequency | 0 | 38 | 197 | 206 | 152 | 47 | 7 | 0 | 0 | 0 | 0 |
Table Q2: Frequency counts of AQHI values.
(a) Apply derivative tests by differentiating with respect to µ to show that s2(µ) is minimised when
1 n
µ = X = n i∑=1Xi ,
the sample mean.
(10 marks)
(b) Calculate the value of the sample variance s2(X) for the AQHI data in Table Q2, giving your answer correct to 2 decimal places.
(5 marks)
Question 3
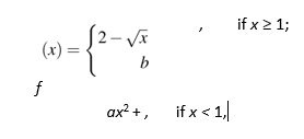
(a) Define a function f : R −→ R by

where a and b are real constants.
(i) Determine the range of values of a and b such that f is continuous at x=
(5 marks)
(ii) Using the limit definition of differentiability, determine the range of values of a and b such that f is differentiable at x =
(10 marks)
(b) A rectangular sheet of paper OACB is folded over so that the corner O just reaches a point P on the side AC as shown in Figure Q3b. Let OA = a and OB = b, where 0 < a < b, and let x = AP.

As P moves from A to C, the square of the length of the crease formed by the fold is given by the function L2(x) : [0,b] −→ R defined by
(i) Determine whether the function L2(x) is continuous over [0,b].
(5 marks)
(ii) Determine the range of values of a and b, subject to 0 < a < b < ∞, such that the function√ L2(x) has a unique maximum over [0,b] at x = b− b2 −a2.
(10 marks)
Question 4
(a) Prove that the tangent line to the graph of the equation y2 =x3 at the point 8/9, 16√2/27 is also a normal to the graph at some point.
(5 marks)
(b) Prove that the tangent lines to the graph of the equation y2(x−1) = x2(x+1) at the points where x = 2 intersect at an angle of .
(3 marks)
Question 5

END OF ASSIGNMENT
The post MTH109 Calculus Tutor-Marked Assignment 1, 2026 | SUSS appeared first on Singapore Assignment Help.